
目 录
公司基本信息表
第一章、概论
1、研究背景
2、研究目标
3、研究方法
4、研究边界
5、编制依据及参考资料
第二章、绿色生产能力开展情况及成效
1、企业概况
2、绿色生产能力开展情况
3、本章小结
第三章、绿色生产管理体系及制度建设现状
1、管理体系认证方面
2、碳排放数据覆盖范围
3、温室气体排放量计算公式
4、本章小结
第四章、企业绿色生产工作计划
1、绿色生产工作目标
2、绿色生产管理
第五章、主要工作及保障措施
1、主要工作
2、保障措施
3、本章小结
第六章、信息披露
1、披露目的
2、披露方式及披露要求
3、披露时间及披露范围
4、负责机构
5、披露内容
第七章、结论和建议
1、结论
2、建议
第八章、附件
附件 1 体系证书
附件 2 荣誉证书
企业基本信息表
| 企业名称 | 福建先德能源科技有限公司 | ||
| 注册地址 | 福州市晋安区鼓山镇后屿路7号办公室第五层 | ||
| 统一社会 信用代码 | 91350100MA2YEBDJ69 | 企业类型 | 有限责任公司 (自然人投资或控股) |
| 法人代表 | 陈威武 | 成立日期 | 2017-07-20 |
经营范围 | 一般项目:配电开关控制设备研发;配电开关控制设备制造;配电开关控制设备销售;输配电及控制设备制造;智能输配电及控制设备销售;机械电气设备制造; 机械电气设备销售:数字视频监控系统制造:软件开发:软件销售:电力电子元器件制造;电力电子元器件销售:技术服务、技术开发、技术咨询、技术交流技术转让、技术推广;货物进出口;技术进出口。(除依法须经批准的项目外,凭营业执照依法自主开展经营活动)许可项目:输电、供电、受电电力设施的安装、维修和试验;电气安装服务;施工专业作业:建筑劳务分包;建设工程施工。 | ||
| 标准及方法学 | 包括但不限于: 《温室气体核算体系(GHG Protocol):企业核算与报告标准(修订版)》; 《组织的温室气体排放和消减的量化、监测和报告规范》(ISO14064-1); 《绿色生产系统架构》; 《绿色产品评价通则》; 《绿色制造制造企业绿色供应链管理导则》; 《绿色制造制造企业绿色供应链管理评价规范》; 《绿色工厂评价通则》等。 | ||
1、研究背景
随着全球工业化进程的加速和人口的不断增长,资源短缺、环境污染等问题日益凸显,可持续发展已成为全球共识。在这样的背景下,绿色生产作为一种新型的生产模式,以其低消耗、低排放、高效率、高效益的特点,逐渐受到世界各国和企业的重视。
绿色智能制造旨在通过技术创新和系统优化,实现制造过程的智能化、绿色化、低碳化和循环化,从而减少对环境的负面影响,提高资源利用效率,降低生产成本,增强企业竞争力。近年来,随着环保法规的日益严格和消费者环保意识的提高,企业绿色智能生产已成为制造业转型升级的重要方向。在我国,绿色制造的发展也受到了政府的高度重视。国家出台了一系列政策,鼓励企业开展绿色生产实践,推动制造业绿色转型升级。同时,随着“中国制造2025”战略的深入实施,绿色生产已成为我国制造业发展的重要方向之一。
福建先德能源科技有限公司深入贯彻落实习近平生态文明思想,围绕国家“碳达峰”、“碳中和”重大战略部署,积极响应政府和利益相关方碳中和、可持续发展倡议,践行绿色生产理念,采取技术可行、经济合理的绿色生产措施,围绕碳中和、绿色制造目标,研究企业绿色生产现状及下一步工作计划、提出绿色生产目标、绿色生产措施等,结合企业自身实际情况,采取可行的绿色制造措施和路径,助力政府、企业及利益相关方实现碳中和、可持续发展目标。
2、研究目标
1)分析先德科技绿色生产现状及成效;
2)建立先德科技绿色制造管理内容、分析企业绿色制造主要工作、提出企业绿色生产措施、路径和建议;
3)为先德科技与采购商等利益相关方的有效沟通提供良好的途径。
3、研究方法
本报告采用《绿色物流指标构成与核算方法》、《绿色制造 制造企业绿色供应链管理导则》、《温室气体核算体系(GHGProtocol):企业核算与报告标准(修订版)》、ISO14064-1《组织的温室气体排放和消减的量化、监测和报告规范》、《工业其他行业企业温室气体排放核算方法与报告指南(试行)》的要求中规定的核算方法,计算本项目运输过程温室气体排放量;相关原材料、能源的排放因子数据来源于中国产品全生命周期温室气体排放系数库(系数集)(网址:http://lca.cityghg.com)等。
报告编制过程中,数据质量被认为是最重要的考虑因素之一。本次数据收集和选择的指导原则是:数据尽可能具有代表性,主要体现在生产商、技术、地域、时间等方面,主要活动数据来源于企业现场调研的初级数据。
4、研究边界
组织边界:福建先德能源科技有限公司持有运营控制权的经营场所。
5、编制依据及参考资料
1) 《中共中央国务院关于完整准确全面贯彻新发展理念做好碳达峰碳中和工作的意见》(中共中央国务院.2022.09);
2) 《2030年前碳达峰行动方案》(中华人民共和国国务院.国发(2022)23号);
3) 《工业领域碳达峰实施方案》(工业和信息化部、国家发展改革委、生态环境部.2022.08);
4) 《关于积极推进供应链创新与应用的指导意见》(国务院办公厅);
5) 《绿色物流指标构成与核算方法》(国家市场监督管理总局、国家标准化管理委员会);
6) 《绿色制造 制造企业绿色供应链管理导则》(国家质量监督检验检疫总局、国家标准化管理委员会);
7) 《绿色包装评价方法与准则》(国家市场监督管理总局、国家标准化管理委员会);
8) 《绿色工厂评价通则》(国家市场监督管理总局、国家标准化管理委员会);
9) 《绿色产品评价通则》(国家质量监督检验检疫总局、国家标准化管理委员会);
10) 《温室气体核算体系(GHG Protocol):企业核算与报告标准(修订版)》(世界资源研究所与世界可持续发展工商理事会编制);
11) ISO14064-1《组织的温室气体排放和消减的量化、监测和报告规范》;
12) ISO14067:2018《温室气体产品的碳排放量.量化和通信的要求和指南》;
13) 《PAS2050:2011 商品和服务在生命周期内的温室气体排放评价规范》;
14) 《工业其他行业企业温室气体排放核算方法与报告指南(试行)》;
15) 《企事业单位碳中和实施指南(DB11/T 1861-2022)》;
16) 《零碳工厂评价规范》(T/CECA-G 0171-2022);
17) 《绿色制造 评价标准》(GB/T 43914-2025);
18) 《碳管理体系要求及使用指南》(T/CIECCPA002-2022);
19) 张玉.数智化助推“三能”目标落地[J].企业管理,2021;
20) 元坤.企业数智化,驱动商业创新地.公司理财,2020;
21) 张良友 王鹏.数智化转型,企业升级之路[M北京:中国工信出版集团2023;
22) 刘震.数智化革命[M].北京:机械工业出版社,2022;
23) 姜宏锋等.数智化采购[M].北京:机械工业出版社,2021;
24) 工业和信息化部关于印发“十四五”工业绿色发展规划的通知(工信部规〔2021〕178 号);
25) 绿色制造、绿色供应链、绿色包装、绿色运输等相关活动数据等;
26) GB/T 39257-2020绿制造制造企业供应链管理评价规范。
1、企业概况
(1)企业简介
福建先德能源科技有限公司(以下简称:先德科技)于2017年7月20日注册成立,公司注册地址:福州市晋安区鼓山镇后屿路7号办公楼第五层,公司生产地址:福州市晋安区鼓山镇后屿路7号、福州市晋安区鼓山镇福光路318号二号楼第五层、福建省福州市晋安区鼓山镇福兴大道9-1号一层厂房,共3个生产片区,合计面积约5358.99平方米。
先德科技已获得“国家高新技术企业”、福建省“专精特新”中小企业、“福建省科技小巨人企业”、“2023年全省数字经济核心产业领域创新企业-瞪羚”、“科技型中小企业”等称号;并取得发明专利证书1项、实用新型、软著共三十余份。2022年入库规模以上工业企业。主要产品包括:智能接地诊断终端、一二次融合智能柱上开关、馈线终端、配网智能辅助监控系统、智能配电自动化站所终端、10kV环网柜、低压开关柜等。
先德科技始终注重“人才培养”,同时开展校企合作,努力培养并储备从设计研发、制造、销售、管理全方位的专业化人才。公司现拥有一批专业技术、理论深厚、实践经验丰富的专业人才。现有研发团队人员7名,其中博士后1名(助理研究员职称),博士1名(持有教授级高级电工证),研发团队中持有中级职称以上人员5名;科研人员占公司总员工比例21.87%,生产人员占公司总员工比例40%。凭借人才及精湛的技术造就出优质的先德科技。
先德科技拥有目前最先进的真空断路器自动生产线、智能终端自动化装配生产线,其主检测设备均为国外权威专业公司生产的进口产品。真空断路器自动生产线以分装配围绕主装配布局的理念设计,以创新设计的工装夹具控制每道工序,同时,创造性地实现了每个装配步骤的即时检测及落线前的终检。智能终端自动装配线的装配设施、装配工位数以合理的布局进行传送,从本体装配到最后终检测试共有十二道工序32个装配工位,实现高效的自动化流水线生产。
先德科技和浙江大学合作研发的基于就地判据的单相接地故障智能判断技术,解决了长期困扰配电网运行的单相接地故障检测难题。我司生产的产品在市面上运行后,国网福州供电公司在使用后对投运以来的单相接地研判进行了统计,安装的相关线路内共统计失地故障 61 起,分析失地告警研判正确 58 条次,信号动作正确率 95.1%,而同行业单相接地故障的准确研判正确率一般为40%-60%。公司产品的正确率、稳定性远高于行业水平,已达到行业技术国际领先水平。
依托本技术优势,福建先德能源科技有限公司和浙江大学合作研发了应用于架空网的NEW-12型户外智能柱上开关和应用于城市电缆网的安装于智能环网箱上的SPGD-11型智能接地诊断终端,市场前景广阔,公司产品广泛应用于国家电网、南方电网各省市供电公司等领域,市场遍及全国各地。
公司先进的技术、可靠的质量、完整的产品型式试验报告、良好的运行业绩、完善的管理体系、快速的售后服务为公司打开市场创造了良好的条件。产品已在上海、浙江、江苏、安徽、山东、山西、福建等地,在电力系统、高铁、煤炭、化工、冶金、市政工程、酒店、住宅等行业得到广泛应用。
先德科技严格的质量管控和完善的售后服务铸造了卓越的品质。通过了ISO9001质量体系、ISO14001环境管理体系和ISO45001职业健康安全管理体系认证。公司始终将客户的需求与期望放在第一位,通过积极沟通、有效处理客户意见、开展客户调查活动和内部改进活动,全面提高客户对公司产品与服务的满意程度。我们愿与国内外各界广泛交流合作,携手共进,共创明天。
(2)主要产品
公司产品:智能接地诊断终端、一二次融合智能柱上开关、馈线终端、配网智能辅助监控系统、智能配电自动化站所终端、10kV环网柜、低压开关柜等。
2、绿色生产能力开展情况
(1)技术设备与系统方面
1)硬件设备
先德科技引入了先进的自动化生产设备、智能测试设备等设备,在设备的生产中,使用自动化生产设备,提高加工精度和效率。
对于一些重复性高的操作工序,采用了专用的自动化设备,减少人工操作误差并提高生产速度。
2)软件系统
先德科技计划采用企业资源(ERP)系统来管理生产流程、物料采购、库存等环节,实现信息的集成化管理。通过ERP系统,能够实时监控生产进度、原材料库存情况,以便及时调整生产计划。
在自动化控制方面,运用了可编程逻辑控制器编程软件,对生产线上的各种设备进行逻辑控制。例如,通过PLC编程实现对电机的启停、速度调节以及设备之间的联锁控制。
(2)人员与技能方面
1)员工技能培训
为了适应自动化技术的发展,先德科技定期组织员工参加自动化技术相关的培训课程。包括PLC编程、自动化设备操作与维护、工业网络通信等内容,以提升员工对自动化技术的掌握程度。
对于一些高级技术岗位,鼓励员工参加外部的专业认证培训,如自动化工程师认证等,提高员工的专业素养。
2)人才引进
企业积极引进自动化技术方面的专业人才,如自动化工程师等。这些人才能够带来新的技术理念和方法,推动公司自动化技术措施的进一步发展。
(3)生产与质量控制方面
1)自动化生产流程
在生产过程中,自动化技术措施可能体现在生产线的自动化程度不断提高。实现从原材料输入到成品输出的连续自动化生产流程,减少中间环节的人工干预,提高生产效率和产品一致性。
通过智能化的试验仪器检验设备的质量、电阻、耐拉力是否符合产品标准要求,及时发现不合格产品并进行剔除或修复。
2)数据驱动的质量改进
利用自动化设备采集生产过程中的各种数据,如设备运行参数、产品质量数据等。通过对这些数据的分析,找出生产过程中的潜在问题和质量风险点,进而采取针对性的改进措施。通过分析生产过程中的温度、电流等数据,优化生产工艺参数,提高设备的性能和质量。
(4)研发与创新方面
为了保持在自动化技术领域的竞争力,先德科技与高校及科研机构建立合作关系。合作的内容包括联合开展自动化技术研究项目、建立实习基地等。通过这种合作,企业能够获取前沿的技术知识和研究成果,同时也为高校或科研机构提供了实践平台。
第三章、绿色生产管理体系及制度建设现状
1、管理体系认证方面
先德科技拥有较为完善的管理体系认证,包括:质量管理体系认证、环境管理体系认证、职业健康安全管理体系认证等。
这些认证的获得表明企业在生产运营过程中,注重产品质量、环境保护、员工职业健康与安全等方面的管理,并且达到了相关标准的要求,为绿色生产的实施提供了管理基础和保障。
(1)生产管理方面
生产设备与技术:作为配电自动化设备的生产厂家,企业经过多年发展,拥有一定规模的专业生产能力。为提高产品质量,企业选择先进的生产设备和试验仪器,并且高级技术人才的加盟进一步提高了产品质量和加快了新产品开发的步伐。
生产流程优化:在生产过程中,企业不断探索和优化生产流程,以提高生产效率和产品质量。对于设备的制造,采用了先进的生产工艺和技术,对生产流程进行精细化管理,确保产品的一致性和可靠性。
(2)信息化建设方面
数据管理:在智能制造的背景下,数据管理至关重要。企业建立了相应的数据管理系统,对生产过程中的数据进行采集、分析和处理,以便及时发现生产过程中的问题,进行预测性维护和质量控制。
供应链管理信息化:在原材料采购、产品销售等环节,企业采用了信息化管理系统,实现了供应链的可视化和协同管理,提高了供应链的效率和灵活性。
(3)人才培养与管理方面
人才吸引:企业重视人才的引进,吸引了一批高级技术人才加盟,为企业的智能制造发展提供了技术支持。
员工培训:为了适应绿色制造的发展需求,企业注重对员工的培训,提高员工的技能水平和综合素质,使员工能够熟练掌握智能制造相关的技术和设备操作方法。
(4)制度建设方面
质量管理制度:企业建立了严格的质量管理制度,对产品的设计、生产、检验等环节进行严格的质量控制,确保产品质量符合标准和客户需求。
安全管理制度:鉴于企业已获得职业健康安全管理体系认证,说明其有完善的安全管理制度,包括安全生产责任制、安全操作规程、安全培训等,保障员工的生命安全和身体健康。
2、碳排放数据覆盖范围
(1)原材料获取阶段
该公司原材料获取碳排放类别及排放源具体参见下表:
原材料获取数据清单
| 阶段 | 类别 | 活动/设备种类(排放源) |
| 原材料生产阶段 | 原材料获取 | 原材料生产 |
(2)生产及采购阶段
生产阶段主要涉及能源为电力,采购阶段的碳排放量为生产阶段的百分之一,该公司生产碳排放类别及排放源具体参见下表:
生产数据清单
| 阶段 | 类别 | 活动/设备种类(排放源) |
| 生产阶段 | 生产 | 生产活动能源使用 |
(3)绿色生产运输、包装及回收
产品、原材料运输为物流运输,工业废弃物运输为汽车运输,原材料由供应商负责运输至该公司厂区。该公司运输碳排放类别及排放源具体参见下表:
运输数据清单
| 阶段 | 类别 | 活动/设备种类(排放源) |
| 运输阶段 | 原材料运输 产品运输 工业固体废弃物运输 | 产品全生命周期运输 |
包装碳排放类别及排放源具体参见下表:
包装数据清单
| 阶段 | 类别 | 活动/设备种类(排放源) |
| 包装阶段 | 包装材料运输 包装废弃物回收 | 包装废弃物回收 |
(4)总量
企业碳排放量=原材料获取+数智化生产+数智化采购+绿色运输+绿色包装+绿色回收
3、温室气体排放量计算公式
企业的温室气体排放总量应等于边界内所有生产系统的化石燃料燃烧所产生的排放量、工业生产过程排放量,以及企业净购入的电力和热力产生的排放量之和,按公式(1)计算:
E=E燃烧+E过程E电力+E热力(1)
其中,
E 企业温室气体排放总量,tCO2e
E燃烧 企业边界内化石燃料燃烧产生的排放量,tCO2e
E过程 企业边界内工业生产过程各种温室气体的排放量,tCO2e
E电力 企业净购入的电力产生的排放量,tCO2e
E热力 企业净购入的热力产生的排放量,tCO2e
按照以下方法分别核算上述各类温室气体排放量。
(一) 化石燃料燃烧排放
1.计算公式
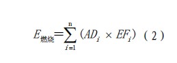
化石燃料燃烧导致的二氧化碳排放量是企业核算和报告年度内各化石燃料燃烧产生的二氧化碳排放量的加总,按公式(2)计算。

其中,
E燃烧 企业边界内化石燃料燃烧产生的排放量,tCO2e
ADi 报告期内第 i 种化石燃料的活动水平,GJ
EFi 第i种化石燃料的二氧化碳排放因子,tCO2e/GJ
i 化石燃料种类
(二)工业生产过程排放
设备制造业的过程排放由各工艺环节产生的过程排放加总获得,具体按公式(5)计算

其中,
E过程 工业生产过程中产生的温室气体排放,tCO2e
ETD 电气与制冷设备生产的过程排放,tCO2e
EWD CO2作为保护气的焊接过程造成的排放,tCO2e
(三)净购入电力、热力产生的排放
1.计算公式
企业净购入的电力、热力产生的二氧化碳排放量按公式(14)和(15)计算

其中,
E电力 净购入的电力产生的排放,tCO2
E热力 净购入的热力产生的排放,tCO2
AD电力 企业的净购入使用的电量,MWh
AD热力 企业的净购入使用的热量,GJ
EF电力 区域电网年平均供电排放因子,tCO2/MWh
EF热力 热力供应的排放因子,tCO2/GJ
4、 本章小结
企业通过自动化技术措施、绿色生产管理体系及制度建设、节能减碳等,建立了绿色制造能力,且成效显著。
第四章、企业绿色生产工作计划
1、绿色生产工作目标
基准年:设定为2025年
企业“双碳”总体目标:2030年实现碳达峰,碳排放量较基准年水平降低50%;2060年努力实现碳中和。
企业绿色供应链目标:2030年供应链较基准年减排30%,2060年供应链较基准年减排70%。
绿色智能制造总体目标:2030年智能制造技术水平和智能制造管理体系建设达到国内同行业先进水平,2050年达到国际同行业先进水平。
减排情景:为助力政府、采购商等利益相关方碳达峰、碳中和和可持续发展目标,助力全球气候碳减排目标,该公司设定了实现1.5°C温控目标。
(1)企业绿色智能制造目标
2025年企业绿色智能制造目标表
| 序号 | 主要内容 | 目标 |
| 1 | 构建简易的自动化物料搬运系统,如自动导引车(AGV)或输送带,减少物料搬运中的人工成本和时间消耗,提高物流效率。 | 企业构建简易自动化物流系统 |
| 2 | 建立ERP(企业资源规划)系统基础框架,实现订单管理、库存控制、生产计划等流程的初步数字化管理。 | 数字化管理系统建设 |
| 3 | 初步部署MES系统,集成生产线监控、工艺参数设定、生产进度跟踪等功能,提升生产透明度和响应速度。 | MES(制造执行系统)引入 |
| 4 | 在仓库和生产线间部署AGV,实现物料搬运的自动化,减少人力成本并提高物流效率。 | AGV(自动引导车)应用 |
| 5 | 引入机器视觉技术,对成品进行自动化质量检测,提高检测精度和效率。 | 自动化质量检测 |
2030年企业绿色智能制造目标表
| 序号 | 主要内容 | 目标 |
| 1 | 实现生产全过程的自动化,包括设计、采购、生产、包装、发货等各个环节。 | 实现设备生产的全面自动化生产 |
| 2 | 构建集成物联网、大数据和AI的智能物流系统,实现库存预测、智能调度和自动补货。 | 构建企业智能物流系统 |
| 3 | 建立智能制造云平台,实现远程监控、远程维护、数据分析等云服务功能。 | 搭建企业智能制造云平台 |
| 4 | 实现产品的全生命周期质量追溯,确保产品质量和顾客满意度。 | 实现企业化质量追溯 |
| 5 | 全面实现车间的数字化、网络化、智能化,提升整体制造能力。 | 数字化车间建设 |
| 序号 | 主要内容 | 目标 |
| 1 | 实现工厂的全面智能化,包括智能设计、智能生产、智能物流、智能服务等各个环节的无缝集成,形成高度灵活、高效、可持续的生产体系。 | 企业建设成全面智能化工厂 |
| 2 | 通过物联网技术,实现工厂内设备、物料、人员等所有要素的互联互通,构建全面的数字孪生工厂,实现物理世界与数字世界的实时映射和交互。 | 企业物联网技术实现深度融合 |
| 3 | 研发和应用绿色智能制造技术,如低碳材料、能源回收利用等,推动制造业向绿色低碳转型。 | 设备生产制造技术实现绿色智能制造 |
| 4 | 通过远程监控、预测性维护等手段实现设备的远程运维和智能服务,提高设备的可靠性和使用寿命。 | 企业绿色智能制造实现远程运维与智能服务 |
| 5 | 绿色智能制造体系日趋完善 | 企业绿色智能制造自动化体系搭建率100% |
(2)企业碳减排目标
2025年绿色智能制造碳减排目标(全球1.5℃温控目标情景)
| 阶段 | 基准年碳排放量 (tCO2) | 碳排放量减排比例 (%) | 2025年碳排放量 (tCO2) |
| 原材料获取阶段碳排放量 | 110.2 | 8% | 101.38 |
| 智能制造生产阶段碳排放量 | 46.96 | 8% | 43.20 |
| 智能制造采购阶段碳排放量 | 2.244 | 8% | 2.06 |
| 智能制造运输阶段碳排放量 | 2.5214 | 8% | 2.23 |
| 智能制造包装阶段碳排放量 | 2.5214 | 8% | 2.23 |
| 智能制造回收阶段碳排放量 | 0.633 | 8% | 0.58 |
2030年绿色智能制造碳减排目标(全球1.5℃温控目标情景)
| 阶段 | 基准年碳排放量 (tCO2) | 碳排放量减排比例 (%) | 2025年碳排放量 (tCO2) |
| 原材料获取阶段碳排放量 | 101.38 | 8% | 93.27 |
| 智能制造生产阶段碳排放量 | 43.20 | 8% | 39.74 |
| 智能制造采购阶段碳排放量 | 2.06 | 8% | 2.05 |
| 智能制造运输阶段碳排放量 | 2.23 | 8% | 2.05 |
| 智能制造包装阶段碳排放量 | 2.23 | 8% | 2.23 |
| 智能制造回收阶段碳排放量 | 0.58 | 8% | 0.53 |
2050年绿色智能制造碳减排目标(全球1.5℃温控目标情景)
| 阶段 | 基准年碳排放量 (tCO2) | 碳排放量减排比例 (%) | 2025年碳排放量 (tCO2) |
| 原材料获取阶段碳排放量 | 93.27 | 100% | 0 |
| 智能制造生产阶段碳排放量 | 39.74 | 100% | 0 |
| 智能制造采购阶段碳排放量 | 1.9 | 100% | 0 |
| 智能制造运输阶段碳排放量 | 2.05 | 100% | 0 |
| 智能制造包装阶段碳排放量 | 2.05 | 100% | 0 |
| 智能制造回收阶段碳排放量 | 0.53 | 100% | 0 |
2、绿色生产管理
(1)机构设置
先德科技筹建了智能制造管理委员会,统筹负责公司绿色生产相关领导工作,公司董事长为第一负责人,各部门负责人为小组成员,各部门指定1名工作人员配合落实公司绿色生产相关工作。公司设置智能制造领导小组综合办公室,拟由人力资源部牵头负责该日常工作。
(2)主要职责
贯彻国家和有关部门颁发的智能制造、碳中和、绿色发展等工作方针、政策、法规和标准等。根据国家和有关规定,智能制造管理委员会负责公司碳中和、绿色发展管理等工作,制定有关工作的管理方法、规章制度、规划和目标。
绿色生产管理委员会审核该公司年度碳中和、绿色发展管理计划,审核有关管理工作,公司规定的其他碳中和、绿色发展工作。
第五章、主要工作及保障措施
1、主要工作
(1)MES系统深度应用与订单排产优化
1、实施MES系统集成:企业拟将MES系统与ERP、PLC等系统无缝对接,实现数据共享和流程协同;
2、智能排产算法应用:企业拟利用MES内置的智能算法,根据生产资源、订单优先级和交货期自动排产,减少人工干预;
3、实时监控与调整:企业拟通过MES实时监控生产进度、设备状态和物料消耗,及时调整生产计划以应对突发情况;
4、数据分析与决策支持:企业拟收集并分析生产数据,为管理层提供决策支持,优化生产流程和资源配置;
5、用户界面优化:确保MES系统用户界面友好,便于操作人员快速上手和高效使用。
(2)BIM技术辅助生产线设计与优化
1、三维建模与仿真:企业拟利用BIM软件构建生产线的三维模型,进行虚拟仿真和碰撞检测,提前发现并解决设计问题;
2、布局优化:企业拟通过BIM模型优化生产线布局,提高空间利用率和生产灵活性,支持快速换线和定制化生产;
3、维护管理:企业拟将BIM模型与设备维护管理系统集成,实现设备的可视化管理和故障预警;
4、协同设计:企业拟利用BIM平台促进跨部门协同设计,提高设计效率和准确性;
5、培训与教育:企业拟利用BIM模型进行员工培训,提高员工对生产线的理解和操作能力。
(3)重点工作
1、自动识别技术应用:企业拟引入RFID、条码等自动识别技术,实现物料的自动化入库、存储、出库和盘点;
2、库存监控与预测:企业拟通过实时库存监控和智能预测算法,减少库存积压,提高物料周转率;
3、智能补货:企业拟根据生产计划和库存情况自动触发补货流程,确保物料供应的连续性和及时性;
4、物料追溯:企业拟建立物料追溯体系,确保每批次物料来源清晰、去向可查;
5、系统集成:企业拟将智能仓储系统与MES、ERP等系统集成,实现数据的实时共享和流程的无缝对接。
(4)原材料检测与追溯体系建立
1、高精度检测设备配置:企业拟为测试中心配备高精度检测设备,确保原材料检测的准确性和可靠性;
2、全面检测流程:企业拟制定全面的原材料检测流程,包括外观检查、性能测试等多个环节;
3、追溯系统建设:企业拟利用MES系统的物料追溯功能,为每批次原材料建立唯一标识,实现全生命周期的质量追溯;
4、不合格品处理:企业拟建立不合格品处理机制,对检测不合格的原材料进行隔离、退货或返工处理。
5、供应商评估:企业定期对原材料供应商进行评估,确保其产品质量和供货能力满足工厂要求。
(5)自动化生产线升级与智能控制
1、自动化设备引入:企业拟在关键生产环节引入机器人、自动化设备等,减少人工干预,提高生产精度和稳定性;
2、PLC与SCADA系统应用:公司拟结合PLC、SCADA等系统实现生产过程的自动控制与远程监控;
3、人机交互界面优化:企业拟设计友好的人机交互界面,便于操作人员监控和调整生产参数;
4、故障预警与诊断:企业拟通过智能控制系统实现设备的故障预警和远程故障诊断,减少停机时间;
5、生产数据收集:企业拟利用自动化设备收集生产数据,为质量评价、流程优化等提供数据支持。
(6)建设企业智能制造系统
1、制定绿色生产系统规划:企业明确绿色生产系统的整体架构、技术路线和阶段性目标,确保系统建设符合企业实际需求和发展战略;
2、引入先进自动化设备:企业调研并引进国内外先进的自动化设备,如智能机器人、自动化生产线等,提升生产效率和产品质量;
3、构建绿色生产平台:企业拟搭建基于云计算、大数据、物联网等技术的智能制造平台,实现生产数据的实时采集、分析和优化;
4、制定实施时间表与预算:企业拟制定详细的实施时间表和预算计划,确保智能制造系统建设按计划推进,并有效控制成本。
(7)自动化生产线的全面升级
1、生产线现状评估:企业拟对现有生产线进行全面评估,识别瓶颈环节和低效环节,为优化升级提供依据;
2、引入自动化改造技术:针对评估结果,引入自动化改造技术,如自动化装配、自动化检测等,提升生产线自动化水平;
3、生产线布局调整:企业拟根据自动化改造需求,对生产线布局进行合理调整,优化物料流动和人员配置。
2、保障措施
(1)MES系统深度应用与订单排产优化
1、明确需求与目标:在引入MES系统前,明确自身生产管理的需求和目标,确保MES系统的功能能够贴合企业实际情况;
2、数据标准化:建立统一的数据标准和规范,确保MES系统采集到的数据质量可靠、格式统一;
3、数据分析与优化:利用MES系统的数据分析功能,对生产数据进行深入挖掘和分析,识别生产过程中的瓶颈和浪费环节,为生产优化提供数据支持;
4、人员培训:对MES系统的操作人员进行全面培训,包括系统操作、维护、数据分析等方面的知识。设立定期培训机制,确保操作人员能够熟练掌握系统操作;
5、智能算法应用:利用智能算法(如遗传算法、模拟退火算法等)对订单排产进行优化,自动生成最优的生产计划。这有助于减少人为干预和错误,提高排产的效率和准确性。
(2)BIM技术辅助生产线设计与优化
1、在项目启动阶段,明确生产线设计与优化的目标和需求,包括生产效率提升、成本降低、质量控制等方面的要求;
2、搭建BIM协同工作平台,实现团队成员之间的信息共享和协同工作。确保各专业人员能够实时查看和修改模型,提高设计效率;
3、数据标准化与统一:制定统一的数据标准和规范,确保BIM模型中的数据格式一致、准确可靠;
4、建模质量控制:在建模过程中,建立严格的质量控制机制,对模型进行定期检查和审核,确保模型的准确性和一致性;
5、持续优化BIM技术:关注BIM技术的最新发展和应用趋势,不断学习和引进新技术、新方法。
1、明确需求与目标:明确智能仓储系统建设的具体需求和目标,包括提高仓储效率、降低错误率、优化物料流动等;
2、物联网技术:引入物联网技术,如RFID(无线射频识别)、传感器等,实现货物的自动识别、定位和追踪;
3、数据采集与整合:建立完善的数据采集系统,实时采集仓储作业过程中的各项数据;
4、专业培训:对仓储管理人员和操作人员进行专业培训,使其掌握智能仓储系统的操作方法和技巧;
5、定期维护:对智能仓储系统的硬件设备和软件进行定期检查和维护。
1、引入自动化检测设备:采用先进的自动化检测设备,对原材料进行快速、准确的检测。这些设备能够自动完成样品的采集、处理和数据分析,提高检测效率和准确性;
2、明确追溯目标与范围:明确原材料追溯的目标和范围,包括需要追溯的原材料种类、追溯的时间跨度以及追溯信息的详细程度。通过明确目标,可以更有针对性地设计追溯系统,确保追溯数据的准确性和完整性;
3、专业培训与技能提升:对负责原材料检测与追溯的人员进行专业培训,包括设备操作、数据分析、追溯系统使用等方面的知识和技能。通过培训,提高人员的专业素养和操作技能,确保检测与追溯工作的准确性和高效性;
4、建立激励机制:建立完善的激励机制,对在原材料检测与追溯工作中表现突出的个人或团队给予表彰和奖励。通过激励,激发员工的工作积极性和创造力,推动检测与追溯工作的持续改进和优化。
1、先进设备与技术引入:引入先进的自动化设备和技术,以提升生产线的自动化和智能化水平;
2、智能控制系统集成:搭建智能控制系统平台,实现生产线的实时监控、数据分析、故障预警等功能;
3、数据采集与分析:建立完善的数据采集系统,实时收集生产过程中的各项数据;
4、项目规划与管理:制定详细的自动化生产线升级与智能控制项目规划书,明确项目目标、时间节点、资源需求等。
1、企业研发部门关注并应用最新的信息技术,如大数据、云计算、物联网、人工智能等,为绿色生产系统提供强大的技术支持;
2、系统集成与标准化:实现不同设备和系统之间的集成,确保信息流通顺畅,提高整体协同效率;
3、数据管理与分析:建立完善的数据采集、存储、处理和分析系统,实时收集生产过程中的各项数据;
4、战略规划与项目管理:制定明确的智能制造系统建设战略规划,明确目标、时间节点、资源需求等;
5、团队建设与培训:组建专业化的智能制造团队,包括技术人员、操作人员、管理人员等。
1、先进技术与设备的引入:调研并引入行业内先进的自动化技术和设备,以提升生产线的自动化水平;
2、系统集成与优化:实现自动化设备与现有生产系统的无缝集成,确保信息流通顺畅,提高整体协同效率;
3、战略规划与项目管理:制定详细的自动化生产线升级战略规划,明确目标、时间节点、资源需求等;
4、团队建设与培训:组建专业化的自动化生产线运维团队,负责设备的日常维护和故障处理;
5、设备安全:定期对自动化设备进行安全检查和维护,确保其稳定运行。
3、本章小结
本报告全面展示了企业在推动智能制造、实现可持续发展方面所开展的主要工作及采取的有效措施。公司进一步明确了绿色生产的重要性和紧迫性,也看到了自身在绿色生产方面所取得的显著成效。未来,企业将继续秉承绿色发展理念,不断探索和实践智能制造的新模式、新路径,为实现可持续发展目标贡献更大力量。为2030年达到碳达峰,2060年达到碳中和贡献出自己的一份力。
第六章、信息披露
1、披露目的
绿色制造信息披露的目的多样且重要,旨在推动企业制造能力的可持续发展,增强透明度,以及满足利益相关方的需求。
2、披露方式及披露要求
(1)披露方式
拟每年通过公司官网、微信公众号、信息公示栏等途径,通过披露该公司的绿色生产能力报告,披露双碳承诺、碳减排目标、碳排放现状等信息。
(2)披露要求
企业依法、及时、准确、完整、真实地披露绿色信息,披露的信息简明清晰、通俗易懂,满足以下要求:
1、透明度:按相关绿色信息披露要求以规定详细程度、特定的频率披露产品绿色信息,保持产品绿色信息的透明度,以便对产品绿色智能制造属性进行综合评估。
2、可用性:企业披露的绿色信息可供企业、政府及监管机构、投资机构、第三方评价机构、社会公众和新闻媒体等不同主体参考利用。
3、同步一致性:企业按一定的频次更新绿色信息,在有重要绿色信息发生变更时及时披露,保持披露绿色信息与企业经营现状同步一致。
4、可访问性:企业披露的绿色信息在需要时具有可获得性,在设定的有效期内可访问。
3、披露时间及披露范围
(1)披露时间
每年10月28日前披露上一年度的企业的绿色制造能力评价报告。
(2)披露范围
主要披露信息:如企业基本信息、企业环境管理信息、生态环境违法信息、污染物信息、碳排放信息、生态环境应急信息、年度临时环境信息依法披露情况。
其他信息:如主要产品的绿色信息、碳排放管理信息、供应商绿色信息、回收处置绿色信息、企业绿色绩效信息等。
4、负责机构
公司管理层牵头负责相关披露。
5、披露内容
1)企业基本信息:包括企业名称、地址、注册类型、批准设立机关、统一社会信用代码等信息;
2)企业环境管理信息:包括企业生产和生态环境行政许可、环保信用等级等方面的信息;
3)生态环境违法信息:如本年度受到的生态环境行政处罚、司法判决情况等信息;
4)污染物产生、治理与排放信息:包括污染防治设施、污染物排放、有毒有害物质排放、工业固体废物和危险废物产生、贮存、流向、利用、处置、自行监测等方面的信息;
5)碳排放信息:包括排放量、排放设施等方面的信息;
6)生态环境应急信息:包括突发环境事件应急预案、重污染天气应急响应等方面的信息;
7)本年度临时环境信息依法披露情况。
1、结论
1)先德科技正积极通过融合物联网、大数据、AI等先进技术,加速生产自动化与智能化进程。企业深化技术应用,提升生产线自动化率,实现实时监控与智能调整。同时,完善数字化设计与大数据分析能力,缩短产品上市周期。建立智能化管理系统,优化生产、供应链等环节,提高运营效率。注重信息安全保障,防范数据风险。此外,推动供应链数字化升级,增强供应链透明度和响应速度。最重要的是,企业重视人才培养与引进,为智能制造的持续发展奠定坚实基础。
综上所述,先德科技正全面推进绿色智能制造转型,以技术创新为驱动,不断提升企业竞争力和市场地位。
2)先德科技绿色智能制造总体目标为2030年智能制造技术水平和智能制造管理体系建设达到国内同行业先进水平,2050年达到国际同行业先进水平。
2、建议
1)先德科技继续深化绿色智能制造转型,加大对新技术(如AI、大数据)的投入与应用,提升生产自动化与智能化水平,特别是加强MES系统与BIM技术的融合。MES系统成为生产管理的核心,实现生产计划、执行、监控与优化的闭环管理,提升生产效率和灵活性。同时,引入BIM技术于产品设计阶段,通过三维模型进行仿真与优化,减少设计错误,提高产品可制造性。同时,加强数字化设计与仿真能力建设,缩短产品开发周期,提高市场响应速度。建立健全智能化管理系统,整合生产、供应链等资源,实现高效协同。重视信息安全,构建全方位防护体系,保障生产数据安全。此外,积极推动供应链数字化升级,与供应商建立紧密合作关系,提升供应链整体效能。最后,重视人才培养与引进,打造一支具备绿色智能制造思维和技能的团队,为企业持续创新发展提供坚实支撑。
2)定期对企业绿色制造能力评价报告、碳足迹报告等环境信息进行信息公开,助力企业绿色可持续发展。
参考文献
[1].BSI, The Guide to PAS 2050, How to carbon footprint your products, identify hotspots and reduce emissions in your supply chain;
[2].Product Carbon Footprint Memorandum, Position statement on measurement and communication of the product carbon footprint for international standardization and harmonization purposes, Berlin, December 2009;
[3].ISO 14067, Greenhouse Gases—Carbon Footprint of Products— Requirements and Guidelines for Quantification and Communication[J]. International Organization for Standardization, Geneva, Switzerland, 2013;
[4]《绿色物流指标构成与核算方法》(国家市场监督管理总局、国家标准化管理委员会);
[5]《绿色制造 制造企业绿色供应链管理 导则》(国家质量监督检验检疫总局、国家标准化管理委员会);
[6]《绿色包装评价方法与准则》(国家市场监督管理总局、国家标准化管理委员会);
[7]《绿色工厂评价通则》(国家市场监督管理总局、国家标准化管理委员会);
[8]《绿色产品评价通则》(国家质量监督检验检疫总局、国家标准化管理委员会);
[9]温室气体核算体系(GHG Protocol):企业核算与报告标准》(世界资源研究所与世界可持续发展工商理事会编制);
[10]企事业单位碳中和实施指南(DB11/T 1861-2022);
[11]联合国政府间气候变化专门委员会.IPCC全球升温1.5℃特别报告[R].IPCC,2018;
[12]中国气象报社 IPCC第六次评估第一工作组报告发布[R].2022.;
[13]工业和信息化部关于印发“十四五”工业绿色发展规划的通知(工信部规〔2021〕178 号);
[14]《绿色制造 制造企业绿色供应链管理评价规范》。
附件1:公司相关体系证书
















